403 chủ xe biển số sau bất ngờ ‘dính’ phạt nguội theo Nghị định 168, có lỗi bị phạt tới 22 triệu
Cục Cảnh sát giao thông cùng công an nhiều địa phương liên tiếp công bố danh sách phương tiện vi phạm bị xử lý phạt nguội qua hệ thống giám sát, trong đó xe máy vi phạm chiếm tỷ lệ đáng chú ý.
Theo báo Sở hữu trí tuệ có bài 403 chủ xe biển số sau bất ngờ ‘dính’ phạt nguội theo Nghị định 168, có lỗi bị phạt tới 22 triệu. Nội dung như sau:
Thời gian gần đây, tình trạng phạt nguội đối với người tham gia giao thông tiếp tục được siết chặt khi hệ thống camera AI giao thông được đưa vào vận hành đồng bộ tại nhiều tuyến đường trọng điểm. Theo ghi nhận, Cục Cảnh sát giao thông và công an các tỉnh, thành phố đã liên tục công khai danh sách phương tiện vi phạm trật tự an toàn giao thông, yêu cầu chủ xe nhanh chóng thực hiện nghĩa vụ nộp phạt theo quy định của Nghị định 168.
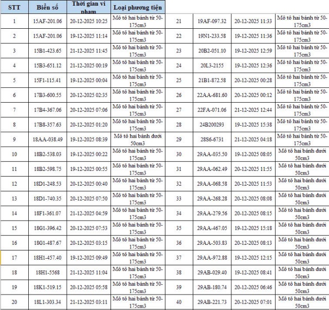
Mới nhất, Công an TP Hà Nội thông báo phát hiện 342 phương tiện vi phạm thông qua hệ thống camera AI giao thông trong thời gian từ ngày 19-12-2025 đến 21-12-2025. Đáng chú ý, trong số này có tới 260 trường hợp xe máy vi phạm, tập trung vào các lỗi phổ biến như vượt đèn đỏ, đi sai làn đường, không chấp hành hiệu lệnh của đèn tín hiệu giao thông. Sau khi xác minh, Phòng Cảnh sát giao thông đã tiến hành gửi thông báo phạt nguội đến từng chủ phương tiện theo đúng quy trình.
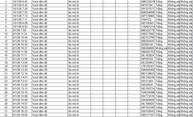
Song song với đó, dữ liệu do Cục Cảnh sát giao thông trích xuất từ hệ thống camera AI giao thông thí điểm tại khu vực nội đô Hà Nội, đặc biệt tại nút giao Phạm Văn Bạch – Hoàng Quán Chi, cho thấy số lượng xe máy vi phạm vẫn ở mức cao trong nhiều khung giờ khác nhau. Cụ thể, trong khoảng thời gian từ 12h ngày 12-1-2026 đến 12h ngày 13-1-2026, hệ thống tự động ghi nhận 52 trường hợp xe máy vi phạm.

Trước đó một ngày, từ 12h ngày 11-1 đến 12h ngày 12-1-2026, con số được ghi nhận là 32 trường hợp.

Riêng khung thời gian từ 12h ngày 10-1 đến 12h ngày 11-1-2026, có 51 xe máy vi phạm bị camera AI giao thông phát hiện và lưu trữ hình ảnh.

Từ 12h ngày 6/1/2026 đến 12h ngày 7/1/2026, hệ thống phát hiện thêm 45 trường hợp.
.jpg)
Theo cơ quan chức năng, việc áp dụng phạt nguội thông qua camera AI giao thông giúp bảo đảm tính khách quan, minh bạch, đồng thời nâng cao ý thức chấp hành luật giao thông của người dân. Nghị định 168 được đánh giá là có nhiều quy định mới với mức xử phạt tăng nặng nhằm răn đe các hành vi nguy hiểm, đặc biệt là đối với xe máy vi phạm.
Cơ quan công an khuyến cáo các chủ phương tiện cần chủ động tra cứu phạt nguội để kịp thời nắm bắt thông tin vi phạm, tránh để kéo dài dẫn đến khó khăn trong quá trình đăng kiểm, sang tên hoặc thực hiện các thủ tục hành chính liên quan. Việc tra cứu phạt nguội hiện nay có thể thực hiện dễ dàng thông qua website chính thức của Cục Cảnh sát giao thông hoặc ứng dụng VNeTraffic.
Theo Nghị định 168/2024/NĐ-CP, một số lỗi xe máy vi phạm có mức phạt khá cao. Người điều khiển xe đi ngược chiều, đi trên vỉa hè trái quy định hoặc không chấp hành tín hiệu đèn giao thông có thể bị phạt tiền từ 4 đến 6 triệu đồng. Trường hợp dừng, đỗ xe dưới lòng đường gây cản trở giao thông, tụ tập từ ba xe trở lên trong hầm đường bộ hoặc đỗ xe sai quy định sẽ bị phạt từ 400.000 đến 600.000 đồng. Ngoài ra, hành vi chở quá số người quy định, không đội mũ bảo hiểm hoặc đội mũ không cài quai đúng cách cũng bị xử phạt ở mức tương tự.
Cục Cảnh sát giao thông nhấn mạnh, việc tăng cường phạt nguội theo Nghị định 168 là giải pháp quan trọng nhằm kéo giảm tai nạn giao thông, lập lại trật tự kỷ cương và hình thành thói quen tham gia giao thông văn minh, an toàn.
Tạp chí Phụ nữ mới đưa tin: "154 chủ xe máy, ô tô bị phạt nguội trong danh sách sau nhanh chóng nộp phạt theo Nghị định 168", nội dung như sau:
Theo dữ liệu trích xuất từ trung tâm điều hành từ 12h00 ngày 16/1 đến 12h00 ngày 17/1/2026 cho thấy tình hình trật tự an toàn giao thông (TTATGT) có những biến động phức tạp vào dịp cuối tuần.
Cụ thể, ở nội đô Hà Nội vi phạm tăng đột biến tại nút giao Phạm Văn Bạch - Hoàng Quán Chi, hệ thống camera AI ghi nhận con số vi phạm cao nhất trong vòng 2 tuần qua. Chỉ trong vòng 24 giờ, đã có 112 trường hợp xe mô tô, xe gắn máy vượt đèn đỏ và 34 trường hợp người điều khiển phương tiện không đội mũ bảo hiểm.
Trái ngược với tình trạng tại nút giao trên, trục đường Lê Văn Lương tiếp tục là điểm sáng về ý thức khi camera không ghi nhận bất kỳ trường hợp đi sai làn đường nào. Hành vi đi ngược chiều tại các điểm giám sát cũng hoàn toàn vắng bóng trong ngày hôm nay.
Cao tốc Nội Bài - Lào Cai lưu lượng phương tiện đạt 9.229 lượt với tốc độ trung bình 70 km/h. Qua phân tích hình ảnh, AI đã chỉ ra 08 trường hợp người ngồi trên xe không thắt dây đai an toàn và 02 trường hợp chạy quá tốc độ quy định.
Toàn bộ hồ sơ vi phạm đã được chuyển giao cho Công an TP Hà Nội để thực hiện quy trình xử lý phạt nguội. Cục CSGT khuyến cáo người dân cần đặc biệt chú ý quan sát đèn tín hiệu, nhất là trong thời điểm mật độ giao thông tăng cao để tránh những tai nạn đáng tiếc.







Cách tra cứu phạt nguội
Để tra cứu phương tiện vi phạm, người dân có thể truy cập vào đường link sau đây và thực hiện theo hướng dẫn: https:www.csgt.vn/tra-cuu-phuong-tien-vi-phạm.html; hoặc có thể tra cứu vi phạm phạt nguội thông qua ứng dụng VneTraffic.
Mức phạt lỗi vượt đèn đỏ, không đội mũ bảo hiểm theo Nghị định 168
Điểm c Khoản 7 Điều 7: "Phạt tiền từ 4.000.000 đồng đến 6.000.000 đồng đối với người điều khiển xe mô tô, xe gắn máy, các loại xe tương tự xe mô tô và các loại xe tương tự xe gắn máy thực hiện hành vi vượt đèn đỏ (không chấp hành hiệu lệnh của đèn tín hiệu giao thông)." Hình thức bổ sung: Trừ 04 điểm giấy phép lái xe (Điểm b Khoản 13 Điều 7).
Điểm h Khoản 2 Điều 7: "Phạt tiền từ 400.000 đồng đến 600.000 đồng đối với người điều khiển xe mô tô, xe gắn máy, các loại xe tương tự xe mô tô và các loại xe tương tự xe gắn máy mà không đội 'mũ bảo hiểm cho người đi mô tô, xe máy' hoặc đội nhưng không cài quai đúng quy cách."
Điểm i Khoản 2 Điều 7: "Phạt tiền từ 400.000 đồng đến 600.000 đồng đối với người được chở trên xe mô tô, xe gắn máy, các loại xe tương tự xe mô tô và các loại xe tương tự xe gắn máy mà không đội 'mũ bảo hiểm cho người đi mô tô, xe máy' hoặc đội nhưng không cài quai đúng quy cách (trừ trường hợp chở người bệnh cấp cứu, trẻ em dưới 6 tuổi, áp giải tội phạm).
