186 chủ xe chạy quá tốc độ có biển số sau nhanh chóng nộp phạt nguội theo Nghị định 168
Công an tỉnh Lâm Đồng đã công bố danh sách các phương tiện vi phạm lỗi chạy quá tốc độ trong tuần đầu tháng 4/2026.
Báo Phụ nữ mới đưa tin với tiêu đề: "186 chủ xe chạy quá tốc độ có biển số sau nhanh chóng nộp phạt nguội theo Nghị định 168", nội dung được đăng tải như sau:
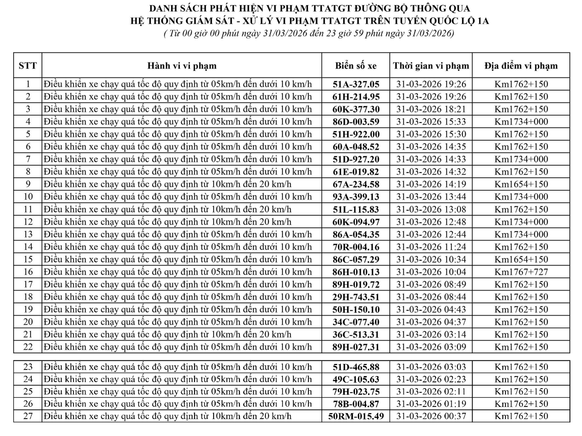
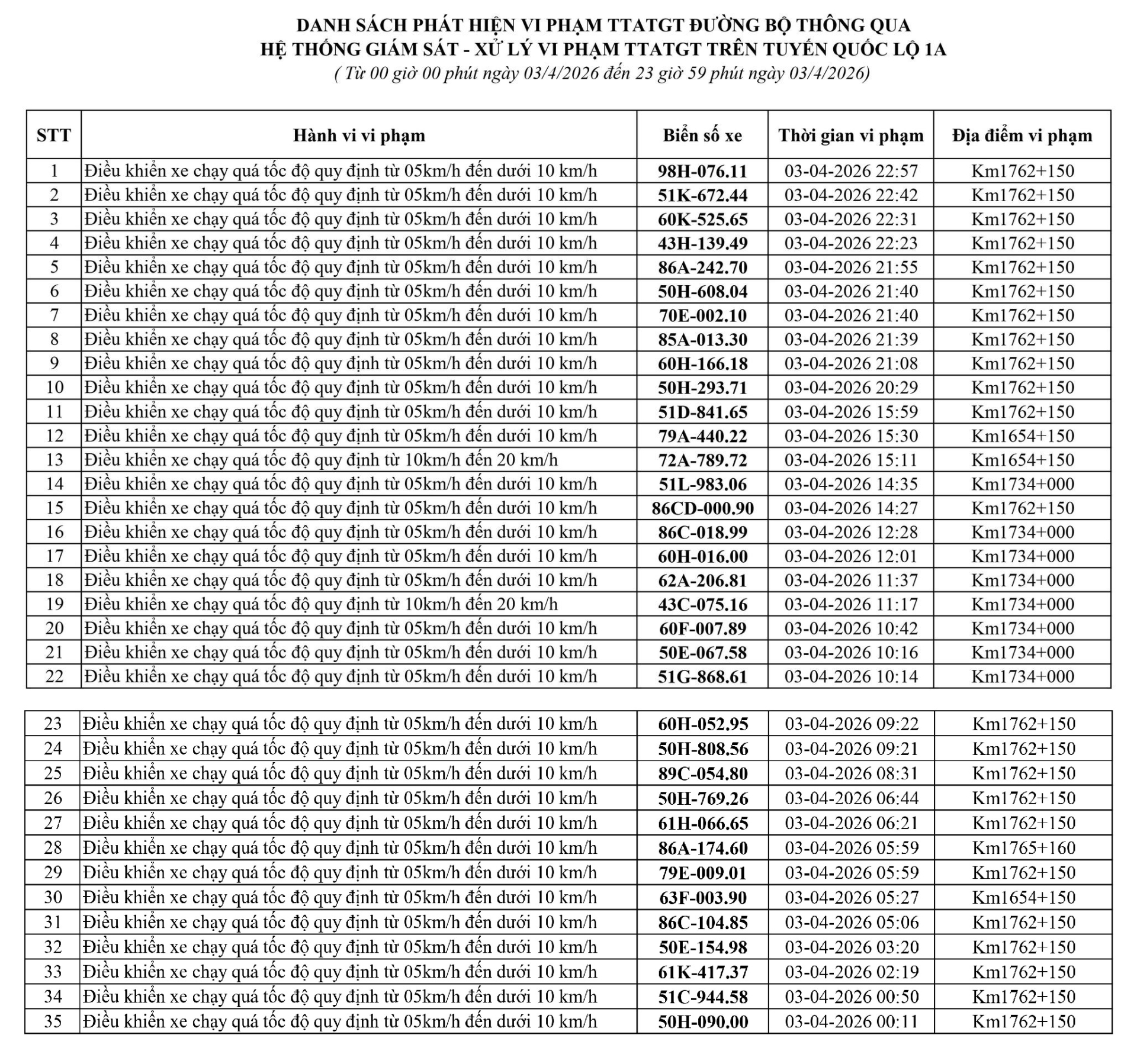
Phòng Cảnh sát giao thông Công an tỉnh Lâm Đồng thông báo, trong tuần từ ngày 30/3/2026 đến ngày 5/4/2026, đã phát hiện 186 trường hợp vi phạm trật tự an toàn giao thông - lỗi chạy quá tốc độ qua hệ thống camera giám sát giao thông và phương tiện thiết bị kỹ thuật nghiệp vụ.
Danh sách cụ thể như sau:









Theo Nghị định 168/2024/NĐ-CP, hành vi điều khiển ô tô chạy quá tốc độ quy định từ 5 - dưới 10 km/h sẽ bị phạt từ 800.000 - 1 triệu đồng; vượt quá tốc độ từ 10 - 20 km/h sẽ bị phạt từ 4 - 6 triệu đồng và trừ 2 điểm bằng lái xe; vượt quá tốc độ trên 20 - 35 km/h sẽ bị phạt từ 6 - 8 triệu đồng và trừ 4 điểm bằng lái xe; vượt quá tốc độ trên 35 km/h sẽ bị phạt từ 12 - 14 triệu đồng và trừ 6 điểm bằng lái xe. Trường hợp điều khiển xe chạy quá tốc độ quy định gây tai nạn giao thông sẽ bị phạt tiền 20 - 22 triệu đồng và trừ 10 điểm giấy phép lái xe.
Với xe máy, nếu vượt quá tốc độ từ 5 - dưới 10 km/h bị phạt tiền từ 400.000 - 600.000 đồng; vượt quá tốc độ từ 10 - 20 km/h bị phạt tiền từ 800.000–1 triệu đồng; vượt quá tốc độ trên 20 km/h bị phạt tiền từ 6–8 triệu đồng.
Phòng Cảnh sát giao thông Công an tỉnh Bắc Ninh đề nghị chủ phương tiện, người vi phạm chủ động tra cứu, chấp hành việc xử lý theo quy định. Đồng thời, khuyến cáo người dân nghiêm chỉnh tuân thủ quy định về tốc độ, chú ý quan sát biển báo giao thông, điều khiển phương tiện an toàn, góp phần phòng ngừa tai nạn và bảo đảm trật tự, an toàn giao thông trên địa bàn.
Để tra cứu phương tiện vi phạm, người dân có thể thực hiện theo các cách dưới đây:
- Tra cứu trên website chính thức của Cục Cảnh sát Giao thông:
Bước 1: Truy cập: https://www.csgt.vn/tra-cuu-phuong-tien-vi-pham.html
Bước 2: Nhập biển số xe, chọn loại phương tiện, nhập mã captcha → bấm Tra cứu.
Bước 3: Nếu có vi phạm sẽ hiện thời gian, địa điểm, lỗi, đơn vị xử lý.
- Tải ứng dụng VNeTraffic - ứng dụng giao thông do Bộ Công an quản lý để kiểm tra thông tin vi phạm hoặc gửi phản ánh trực tiếp đến cơ quan chức năng.
Bước 1: Tải ứng dụng trên Google Play / App Store.
Bước 2: Đăng nhập bằng CCCD gắn chip hoặc số điện thoại.
Bước 3: Vào mục “Tra cứu vi phạm”, nhập biển số xe để xem vi phạm.
Báo Người đưa tin đưa tin với tiêu đề: "Ô tô lao xuống giếng sâu, 9 người được tìm thấy trong xe", nội dung được đăng tải như sau:
Một vụ tai nạn giao thông đêm khuya đã khiến 9 thành viên trong cùng một gia đình, bao gồm 6 trẻ em, thiệt mạng sau khi chiếc xe của họ lao xuống giếng đầy nước ở quận Nashik, Maharashtra, Ấn Độ.
Vụ tai nạn xảy ra vào khoảng 11h30 đêm ngày 3/4 tại huyện Dindori, cách Nashik khoảng 40 km, khi gia đình đang trên đường về nhà sau khi tham dự một buổi lễ thường niên.
Theo các quan chức địa phương, gia đình đến từ làng Indore đã tham dự một sự kiện xã hội tại một hội trường ở Shivajinagar. Sau buổi lễ, Sunil Dattatreya Dargode đang lái xe đưa gia đình về nhà thì bị mất lái.
Chiếc xe lao ra khỏi đường và rơi xuống một cái giếng đầy nước gần đó, khiến cơ hội thoát thân gần như bằng không.

Chiếc xe ô tô mất lái lao xuống giếng.
Các đội cứu hộ đã nhanh chóng đến hiện trường ngay sau khi vụ việc xảy ra. Cảnh sát, chính quyền địa phương, lực lượng cứu hỏa, các đội quản lý thảm họa và sau đó là Lực lượng Ứng phó Thảm họa Quốc gia (NDRF) đã tham gia vào công tác cứu hộ.
Tuy nhiên, giếng đã ngập hoàn toàn nước khiến việc giải cứu gặp khó khăn. Phải mất nhiều giờ chiếc xe mới được kéo ra khỏi giếng bằng cần cẩu.
9 thi thể đã được tìm thấy trong chiếc xe, trong khi một chiến dịch tìm kiếm riêng biệt được triển khai để tìm kiếm bé gái văng ra ngoài và chìm xuống giếng.

Những người tử vong trong vụ tai nạn bao gồm Sunil Dattatreya Dargode (34 tuổi), vợ anh là Reshma (30 tuổi), con gái của họ là Rakhi alias Gunvanti (10 tuổi) và các cháu gái Madhuri (13 tuổi), Shravani (11 tuổi).
Trong số những người tử vong còn có Asha Anil Dargode (32 tuổi), con trai Shreyash (11 tuổi), con gái Srishti (14 tuổi) và cháu gái Samruddhi (7 tuổi). Tất cả các nạn nhân đều thuộc cùng một gia đình.
Cảnh sát Dindori đã lập hồ sơ vụ án và tiến hành điều tra vụ tai nạn.
Những dấu hiệu ban đầu cho thấy người lái xe đã mất kiểm soát, tuy nhiên, vẫn đang chờ thêm thông tin chi tiết.
